
Paola Martire
The detection and characterisation of Tidal Disruption Events (TDEs) represents a unique powerful tool to investigate the mass distribution of Intermediate Mass Black Holes (IMBHs). These transients happen when a star approaches a Black Hole and is torn apart by tidal forces, releasing an amount of energy comparable to that of a SuperNova.
Since current and future (LSST, ULTRASAT) surveys are able to detect TDEs, having a robust physical model to describe them will allow to constrain the involved (few) parameters, such as the mass and the spin of the IMBH and the mass of the star.
Our goal is to model the early times of these event, deriving observables for future comparison with observations.

Look at the full evolution here: https://drive.google.com/file/d/1O1hBeL4FR1HiaQv0eWrs4nB9y48gH8Nl/view?usp=share_link

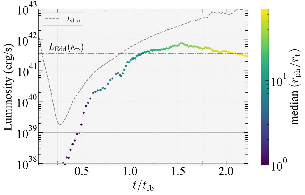
Eddington-limited emission
As first project, we run and analyzed a 3D end-to-end simulation of an IMBH TDE with the radiation-hydrodynamics code RICH. We focused on deriving observables and assess the robustness of our results through convergence tests. We found that the stellar debris fails to circularize efficiently, while a low-density, radiation-driven wind forms near pericenter and expands quasi-spherically. The emitted radiation is advected by this outflow and released at the photosphere, which expands to radii of 1013 cm and reaches temperatures of few times 104K at the peak of the light curve. The resulting luminosity briefly exceeds the Eddington limit before settling near that value.
Paper in press
Wind analysis
We are further analyzing the outflowing material, characterizing its geometry and physical properties. The goal is to model its evolution computing observables – as emitted luminosity, spectra, and polarization – as function of line of sight.


Stream width
Shifting the focus on local analysis, the next project will be measuring the width and height for the stream in order to quantify the effect of the nozzle shock.